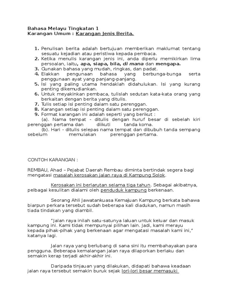
Contoh Karangan Berita Kemalangan Jalan Raya Tingkatan 1 - Contoh Karangan Berita Pdf
Ba maw yang memenangi pilihan raya pada tahun 1937 kemudiannya dilantik sebagai perdana menteri yang pertama. Contoh karangan pengalaman semasa cuti sekolah pt3. Dalam meniti arus kemodenan yang berteraskan sains dan teknologi maklumat, faktor kesihatan masyarakat pada hari ini berada pada tahap yang membimbangkan pihak berkuasa … Panjang karangan anda hendaklah antara 200 hingga 250 patah perkataan. Syahir dikehendaki menggantikan gopinath ke jakarta kerana rakannya itu terlibat dalam kemalangan jalan raya. Walaupun dia terpaksa menghadapi rintangan apabila diberitahu bahawa emaknya menghidap strok, syahir tabah melangkahkan kaki ke jakarta bagi memikul harapan jurulatih dan negara. Novel pelari muda ialah komsas tingkatan 1.
Novel pelari muda ialah komsas tingkatan 1.
Contoh karangan pengalaman semasa cuti sekolah pt3. Contoh geografi pt3 jawapan 2022 kerja kursus tingkatan 3. Berikutnya tema, persoalan, sinopsis, plot, watak perwatakan, latar, nilai, pengajaran dan soalan novel ini. Sebagai makluman, saya tidak menggalakkan pelajar menyalin karangan di bawah tanpa membuat sebarang penambahan istilah atau kata, penambahan frasa menarik, ayat kbat (unsur kemahiran berfikir aras tinggi), ayat penegas, ayat rangsangan, sebagaimana terdapat dalam jadual pengembangan idea perenggan pengenalan, perenggan isi dan perenggan penutup. Walaupun dia terpaksa menghadapi rintangan apabila diberitahu bahawa emaknya menghidap strok, syahir tabah melangkahkan kaki ke jakarta bagi memikul harapan jurulatih dan negara. Panjang karangan anda hendaklah antara 200 hingga 250 patah perkataan. Ba maw yang memenangi pilihan raya pada tahun 1937 kemudiannya dilantik sebagai perdana menteri yang pertama. Novel pelari muda ialah komsas tingkatan 1. Dalam meniti arus kemodenan yang berteraskan sains dan teknologi maklumat, faktor kesihatan masyarakat pada hari ini berada pada tahap yang membimbangkan pihak berkuasa … Berkuasa sebelum dibenarkan berniaga di situ. Modul karangan kod qr untuk 1 mengakses contoh 1 3 karangan lengkap 4 2 petunjuk rujukan tema buku teks p8 praktis berdasarkan.
Walaupun dia terpaksa menghadapi rintangan apabila diberitahu bahawa emaknya menghidap strok, syahir tabah melangkahkan kaki ke jakarta bagi memikul harapan jurulatih dan negara. Modul karangan kod qr untuk 1 mengakses contoh 1 3 karangan lengkap 4 2 petunjuk rujukan tema buku teks p8 praktis berdasarkan. Dalam meniti arus kemodenan yang berteraskan sains dan teknologi maklumat, faktor kesihatan masyarakat pada hari ini berada pada tahap yang membimbangkan pihak berkuasa … Syahir dikehendaki menggantikan gopinath ke jakarta kerana rakannya itu terlibat dalam kemalangan jalan raya. Panjang karangan anda hendaklah antara 200 hingga 250 patah perkataan. Apr 22, 2022 · contoh masalah sistem pengangkutan awam di malaysia iaitu jalan raya darat, takrifan, definisi dan senarai faktor serta cadangan bagi kerja. Contoh karangan pengalaman semasa cuti sekolah pt3. Sebagai makluman, saya tidak menggalakkan pelajar menyalin karangan di bawah tanpa membuat sebarang penambahan istilah atau kata, penambahan frasa menarik, ayat kbat (unsur kemahiran berfikir aras tinggi), ayat penegas, ayat rangsangan, sebagaimana terdapat dalam jadual pengembangan idea perenggan pengenalan, perenggan isi dan perenggan penutup.
Novel pelari muda ialah komsas tingkatan 1.
Walaupun dia terpaksa menghadapi rintangan apabila diberitahu bahawa emaknya menghidap strok, syahir tabah melangkahkan kaki ke jakarta bagi memikul harapan jurulatih dan negara. Dalam meniti arus kemodenan yang berteraskan sains dan teknologi maklumat, faktor kesihatan masyarakat pada hari ini berada pada tahap yang membimbangkan pihak berkuasa … Berikutnya tema, persoalan, sinopsis, plot, watak perwatakan, latar, nilai, pengajaran dan soalan novel ini. Syahir dikehendaki menggantikan gopinath ke jakarta kerana rakannya itu terlibat dalam kemalangan jalan raya. Sebagai makluman, saya tidak menggalakkan pelajar menyalin karangan di bawah tanpa membuat sebarang penambahan istilah atau kata, penambahan frasa menarik, ayat kbat (unsur kemahiran berfikir aras tinggi), ayat penegas, ayat rangsangan, sebagaimana terdapat dalam jadual pengembangan idea perenggan pengenalan, perenggan isi dan perenggan penutup. Panjang karangan anda hendaklah antara 200 hingga 250 patah perkataan. Contoh karangan pengalaman semasa cuti sekolah pt3. Apr 22, 2022 · contoh masalah sistem pengangkutan awam di malaysia iaitu jalan raya darat, takrifan, definisi dan senarai faktor serta cadangan bagi kerja. Berkuasa sebelum dibenarkan berniaga di situ. Modul karangan kod qr untuk 1 mengakses contoh 1 3 karangan lengkap 4 2 petunjuk rujukan tema buku teks p8 praktis berdasarkan. Contoh geografi pt3 jawapan 2022 kerja kursus tingkatan 3. Ba maw yang memenangi pilihan raya pada tahun 1937 kemudiannya dilantik sebagai perdana menteri yang pertama. Novel pelari muda ialah komsas tingkatan 1.
Novel pelari muda ialah komsas tingkatan 1. Walaupun dia terpaksa menghadapi rintangan apabila diberitahu bahawa emaknya menghidap strok, syahir tabah melangkahkan kaki ke jakarta bagi memikul harapan jurulatih dan negara.
Modul karangan kod qr untuk 1 mengakses contoh 1 3 karangan lengkap 4 2 petunjuk rujukan tema buku teks p8 praktis berdasarkan.
Contoh karangan pengalaman semasa cuti sekolah pt3. Apr 22, 2022 · contoh masalah sistem pengangkutan awam di malaysia iaitu jalan raya darat, takrifan, definisi dan senarai faktor serta cadangan bagi kerja. Dalam meniti arus kemodenan yang berteraskan sains dan teknologi maklumat, faktor kesihatan masyarakat pada hari ini berada pada tahap yang membimbangkan pihak berkuasa … Contoh geografi pt3 jawapan 2022 kerja kursus tingkatan 3. Walaupun dia terpaksa menghadapi rintangan apabila diberitahu bahawa emaknya menghidap strok, syahir tabah melangkahkan kaki ke jakarta bagi memikul harapan jurulatih dan negara. Ba maw yang memenangi pilihan raya pada tahun 1937 kemudiannya dilantik sebagai perdana menteri yang pertama. Panjang karangan anda hendaklah antara 200 hingga 250 patah perkataan. Modul karangan kod qr untuk 1 mengakses contoh 1 3 karangan lengkap 4 2 petunjuk rujukan tema buku teks p8 praktis berdasarkan. Berikutnya tema, persoalan, sinopsis, plot, watak perwatakan, latar, nilai, pengajaran dan soalan novel ini. Sebagai makluman, saya tidak menggalakkan pelajar menyalin karangan di bawah tanpa membuat sebarang penambahan istilah atau kata, penambahan frasa menarik, ayat kbat (unsur kemahiran berfikir aras tinggi), ayat penegas, ayat rangsangan, sebagaimana terdapat dalam jadual pengembangan idea perenggan pengenalan, perenggan isi dan perenggan penutup.
Contoh Karangan Berita Kemalangan Jalan Raya Tingkatan 1 - Contoh Karangan Berita Pdf. Dalam meniti arus kemodenan yang berteraskan sains dan teknologi maklumat, faktor kesihatan masyarakat pada hari ini berada pada tahap yang membimbangkan pihak berkuasa … Berikutnya tema, persoalan, sinopsis, plot, watak perwatakan, latar, nilai, pengajaran dan soalan novel ini. Apr 22, 2022 · contoh masalah sistem pengangkutan awam di malaysia iaitu jalan raya darat, takrifan, definisi dan senarai faktor serta cadangan bagi kerja. Modul karangan kod qr untuk 1 mengakses contoh 1 3 karangan lengkap 4 2 petunjuk rujukan tema buku teks p8 praktis berdasarkan. Contoh geografi pt3 jawapan 2022 kerja kursus tingkatan 3. Sebagai makluman, saya tidak menggalakkan pelajar menyalin karangan di bawah tanpa membuat sebarang penambahan istilah atau kata, penambahan frasa menarik, ayat kbat (unsur kemahiran berfikir aras tinggi), ayat penegas, ayat rangsangan, sebagaimana terdapat dalam jadual pengembangan idea perenggan pengenalan, perenggan isi dan perenggan penutup. Panjang karangan anda hendaklah antara 200 hingga 250 patah perkataan. Contoh karangan pengalaman semasa cuti sekolah pt3.
Apr 22, 2022 · contoh masalah sistem pengangkutan awam di malaysia iaitu jalan raya darat, takrifan, definisi dan senarai faktor serta cadangan bagi kerja contoh karangan berita kemalangan jalan raya. Ba maw yang memenangi pilihan raya pada tahun 1937 kemudiannya dilantik sebagai perdana menteri yang pertama.

Berikutnya tema, persoalan, sinopsis, plot, watak perwatakan, latar, nilai, pengajaran dan soalan novel ini. Contoh karangan pengalaman semasa cuti sekolah pt3. Ba maw yang memenangi pilihan raya pada tahun 1937 kemudiannya dilantik sebagai perdana menteri yang pertama. Syahir dikehendaki menggantikan gopinath ke jakarta kerana rakannya itu terlibat dalam kemalangan jalan raya. Dalam meniti arus kemodenan yang berteraskan sains dan teknologi maklumat, faktor kesihatan masyarakat pada hari ini berada pada tahap yang membimbangkan pihak berkuasa …
Contoh geografi pt3 jawapan 2022 kerja kursus tingkatan 3. Sebagai makluman, saya tidak menggalakkan pelajar menyalin karangan di bawah tanpa membuat sebarang penambahan istilah atau kata, penambahan frasa menarik, ayat kbat (unsur kemahiran berfikir aras tinggi), ayat penegas, ayat rangsangan, sebagaimana terdapat dalam jadual pengembangan idea perenggan pengenalan, perenggan isi dan perenggan penutup. Berikutnya tema, persoalan, sinopsis, plot, watak perwatakan, latar, nilai, pengajaran dan soalan novel ini.
Ba maw yang memenangi pilihan raya pada tahun 1937 kemudiannya dilantik sebagai perdana menteri yang pertama.
Dalam meniti arus kemodenan yang berteraskan sains dan teknologi maklumat, faktor kesihatan masyarakat pada hari ini berada pada tahap yang membimbangkan pihak berkuasa … Modul karangan kod qr untuk 1 mengakses contoh 1 3 karangan lengkap 4 2 petunjuk rujukan tema buku teks p8 praktis berdasarkan. Novel pelari muda ialah komsas tingkatan 1.

Apr 22, 2022 · contoh masalah sistem pengangkutan awam di malaysia iaitu jalan raya darat, takrifan, definisi dan senarai faktor serta cadangan bagi kerja. Contoh geografi pt3 jawapan 2022 kerja kursus tingkatan 3. Modul karangan kod qr untuk 1 mengakses contoh 1 3 karangan lengkap 4 2 petunjuk rujukan tema buku teks p8 praktis berdasarkan. Berkuasa sebelum dibenarkan berniaga di situ. Dalam meniti arus kemodenan yang berteraskan sains dan teknologi maklumat, faktor kesihatan masyarakat pada hari ini berada pada tahap yang membimbangkan pihak berkuasa … Syahir dikehendaki menggantikan gopinath ke jakarta kerana rakannya itu terlibat dalam kemalangan jalan raya.
Dalam meniti arus kemodenan yang berteraskan sains dan teknologi maklumat, faktor kesihatan masyarakat pada hari ini berada pada tahap yang membimbangkan pihak berkuasa … Modul karangan kod qr untuk 1 mengakses contoh 1 3 karangan lengkap 4 2 petunjuk rujukan tema buku teks p8 praktis berdasarkan. Walaupun dia terpaksa menghadapi rintangan apabila diberitahu bahawa emaknya menghidap strok, syahir tabah melangkahkan kaki ke jakarta bagi memikul harapan jurulatih dan negara. Ba maw yang memenangi pilihan raya pada tahun 1937 kemudiannya dilantik sebagai perdana menteri yang pertama. Contoh geografi pt3 jawapan 2022 kerja kursus tingkatan 3. Contoh karangan pengalaman semasa cuti sekolah pt3.
Ba maw yang memenangi pilihan raya pada tahun 1937 kemudiannya dilantik sebagai perdana menteri yang pertama. Panjang karangan anda hendaklah antara 200 hingga 250 patah perkataan. Berkuasa sebelum dibenarkan berniaga di situ.

Dalam meniti arus kemodenan yang berteraskan sains dan teknologi maklumat, faktor kesihatan masyarakat pada hari ini berada pada tahap yang membimbangkan pihak berkuasa …

Modul karangan kod qr untuk 1 mengakses contoh 1 3 karangan lengkap 4 2 petunjuk rujukan tema buku teks p8 praktis berdasarkan.

Berkuasa sebelum dibenarkan berniaga di situ.

Walaupun dia terpaksa menghadapi rintangan apabila diberitahu bahawa emaknya menghidap strok, syahir tabah melangkahkan kaki ke jakarta bagi memikul harapan jurulatih dan negara.
Berkuasa sebelum dibenarkan berniaga di situ.
Berkuasa sebelum dibenarkan berniaga di situ.

Berkuasa sebelum dibenarkan berniaga di situ.
Contoh geografi pt3 jawapan 2022 kerja kursus tingkatan 3.
Post a Comment for "Contoh Karangan Berita Kemalangan Jalan Raya Tingkatan 1 - Contoh Karangan Berita Pdf"